[Erste Anwendung des optoakustischen Effekts im Menschen]
Nina-Marie Burmeister 1Sebastian Langguth 1
Aaron Urschel 1
Larissa Schatteburg 1
Christian Hochbruck 1
Mircea Gabriel Teodorescu 1
Svenja Meurer 1
Bernhard Schick 1
Gentiana Ioana Wenzel 1
1 Saarland University Medical Center, Department of Otorhinolaryngology, Homburg, Germany
Zusammenfassung
Der optoakustische Effekt beschreibt allgemein die Erzeugung von Schall durch Lichtenergie. Wenn ein Medium Laserpulse einer bestimmten Länge und Energie absorbiert, kommt es zu raschen thermischen Veränderungen, die unter anderem dazu führen können, dass sich die angrenzende Luftschicht ausdehnt und zusammenzieht und dadurch Schallwellen erzeugt. Dieses Prinzip könnte als neuartige Alternative für die in den derzeitigen Hörgerätetechnologien verwendete akustische Stimulation dienen.
Um die Machbarkeit im Menschen zu beurteilen, wurde eine erste Studie mit drei normalhörenden Probanden durchgeführt. Ein mehrschichtiges Absorberpatch wurde auf der Haut im Cavum conchae der Probanden platziert und mit einem 808 nm gepulsten Laser Töne unterschiedlicher Schalldruckpegel (27,3, 34,7 und 40,3 dB SPL) und Frequenzen (440, 500, 523 und 659 Hz) sowie drei bekannte Melodien erzeugt. Die Probanden konnten die Töne anhand ihrer Schalldruckpegel mit 80%–100% Genauigkeit korrekt einordnen und anhand ihrer Frequenz mit 90%–100% Genauigkeit. Alle Probanden erkannten alle abgespielten Melodien.
Obwohl dieser Bericht auf einer begrenzten Zahl einzelner Beobachtungen beruht und keine systematische Studie darstellt, zeigt er dennoch weltweit erstmals die erfolgreiche Anwendung der optoakustischen Stimulation beim Menschen sowie die zuverlässige Übertragung einfacher akustischer Signale mittels gepulsten Laserlichts.
Introduction
Despite significant technological advancements, conventional and power hearing aids continue to face limitations in meeting the diverse needs of people with hearing impairment. Many users report dissatisfaction with aspects such as sound quality, amplification precision, and wearing comfort. As a result, a large proportion of individuals either discontinue use or never adopt hearing aids at all, leaving a critical gap in auditory care [1].
To address this challenge, there is a growing need to explore alternative principles of sound transmission that can overcome the inherent constraints of current systems. One promising approach is based on the optoacoustic effect, which enables precise stimulation of the auditory system and offers high wearing comfort by replacing the bulky, occluding loudspeaker with a slim laser fiber. Through the induction of sound directly in the vibratory structure feedback issues will be solved.
In a previously conducted animal study, it was demonstrated that precise optoacoustic activation of distinct audible frequencies in the hearing system can be achieved when laser pulses are applied to the eardrum or to vibratory structures within the middle ear [2]. Additionally, it was demonstrated that a large spectrum of wavelengths can be used to induce optoacoustic vibrations of the peripheral hearing organ in an animal model [3]. Moreover, using an absorbing film on the tympanic membrane during optical stimulation led to considerably enhanced wave I amplitudes of optoacoustic auditory brainstem responses (oABRs). These values were significantly higher compared to the stimulation of the bare tympanic membrane [4].
In our herein presented research, we investigated if the optoacoustic stimulation of the hearing organ can be translated from bench to bedside, hence, if this method can be seen as a foundation for future hearing solutions in humans.
Material and methods
This first-in-human study was conducted with three normal-hearing German subjects, aged between 24 and 29 years. The experimental setup is depicted in Figure 1 [Fig. 1]. A multilayer absorber patch was used in this study. The bottom layer consisted of PDMS and served as a self-adhesive layer. The intermediate layer was made of aluminum to facilitate heat distribution, and the top layer was an absorbing layer to maximize the energy transfer (Metal Velvet, Acktar Ltd.). The absorber patch was affixed onto the skin in the cavum conchae of one ear of each subject, so the patch could easily be targeted with the handheld laser fiber. All experiments were performed in an acoustically optimized room.
Figure 1: Study design. Experimenter 1 is located in the anteroom, which is shielded from laser exposure, and operates the computer that controls the laser system. Experimenter 2 and the subject are in the acoustically optimized room “Camera Silenta.” Experimenter 2 holds the laser fiber and directs it at the patch positioned in the subject’s cavum conchae.
Optoacoustic stimulation was carried out using an 808 nm laser (Xiton Photonics), coupled with a Thorlabs optical fiber. Although optoacoustic stimulation can be achieved at any wavelength, 808 nm was selected as it is already utilized in several medical devices and provides efficient absorption in the patch while remaining within established safety limits. The fiber was handheld and directed at the absorber patch throughout the study.
Three experimental series were conducted. All single tones generated were not purely sinusoidal oscillations but contained overtones. For application in hearing aids, the audio signal will be modulated to achieve better sound quality.
In the first series, each subject was presented with 10 sets, each consisting of three single tones of identical frequency (500 Hz), but with varying peak powers: low (0.86 W, approximately 27 dB SPL), medium (2.18 W, approximately 35 dB SPL), and high (4.18 W, approximately 40 dB SPL). The SPL of each tone was measured prior to the study using a laboratory test setup in which the patch was affixed to a stretched glove, resembling an artificial eardrum. The laser was directed at the patch at the same distance as in the first-in-human study (1 mm), and the sound level meter was positioned in front of the patch at a distance of 4 cm. Each tone was presented once per set, and subjects were asked to rank the tones in each set according to their sound pressure levels.
In the second series, the peak power was kept constant at 2.18 W (approximately 35 dB SPL), while the frequency was varied within each set (440 Hz, 523 Hz, and 659 Hz). Again, subjects were instructed to order the tones in each set according to frequency.
In the third series, three in the German population well-known melodies were presented: “Alle meine Entchen”, the German national anthem, and “Jingle Bells.” Subjects were asked to identify and name the melodies without being provided with any response alternatives.
Results and discussion
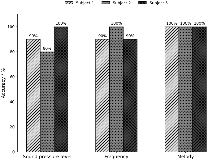
The subjects correctly ordered between 80% and 100% of the tone sets with varying sound pressure levels (Figure 2 [Fig. 2]). For the tone sets with varying frequencies, the correct sorting rate ranged from 90% to 100%. All participants successfully identified all three presented melodies.
Figure 2: Study results. Each section of the graph represents one test series. The subjects correctly sorted between 80% and 100% of the tone sets with varying sound pressure levels. For tone sets with varying frequencies, the correct sorting rate ranged from 90% to 100%. All subjects successfully identified all three presented melodies.
The high accuracy observed across all test series provides compelling evidence that the subjects reliably perceived the sound generated by the pulsed laser. Variations in both sound pressure level and frequency were clearly distinguishable and familiar melodies were consistently recognized. Occasionally lower accuracy values of 80% or 90% may be attributed to temporary inattention of the subjects, initial familiarization with the task, or further reasons that are currently explored.
Conclusions
The first-in-human study demonstrates that controlled, frequency-specific activation of the auditory system through optoacoustic stimulation of the peripheral hearing organ in humans is possible.
Current and future work is however needed until clinical trials can be started, including final biocompatibility studies, optimization of energy consumption and miniaturization. By focusing on the fundamental mechanisms and validating key parameters, our work contributes to the development of a new class of hearing devices that is expected to offer improved user acceptance and performance.
Notes
Funding
This work was supported by the EXIST program, funded by the German Federal Ministry for Economic Affairs and Climate Action (BMWK) and co-financed by the European Social Fund (ESF).
Conference presentation
This contribution was presented at the 27th Annual Conference of the German Society of Audiology and published as an abstract [5].
Competing interests
The authors declare that they have no competing interests.
References
[1] Marcos-Alonso S, Almeida-Ayerve CN, Monopoli-Roca C, Coronel-Touma GS, Pacheco-López S, Peña-Navarro P, Serradilla-López JM, Sánchez-Gómez H, Pardal-Refoyo JL, Batuecas-Caletrío Á. Factors Impacting the Use or Rejection of Hearing Aids-A Systematic Review and Meta-Analysis. J Clin Med. 2023 Jun 13;12(12):4030. DOI: 10.3390/jcm12124030[2] Stahn P, Lim HH, Hinsberger MP, Sorg K, Pillong L, Kannengießer M, Schreiter C, Foth HJ, Langenbucher A, Schick B, Wenzel GI. Frequency-specific activation of the peripheral auditory system using optoacoustic laser stimulation. Sci Rep. 2019 Mar 12;9(1):4171. DOI: 10.1038/s41598-019-40860-8
[3] Heimann L, Carlein C, Sorg K, Diller R, Langenbucher A, Schick B, Wenzel GI. Wavelength-specific optoacoustic-induced vibrations of the guinea pig tympanic membrane. J Biomed Opt. 2021 Mar;26(3):038001. DOI: 10.1117/1.JBO.26.3.038001
[4] Sorg K, Heimann L, Moreira Lana G, Langenbucher A, Schick B, Arzt E, Wenzel GI. Optoacoustically induced auditory brainstem responses in the mouse model enhanced through an absorbing film. J Biomed Opt. 2021 Sep;26(9):098001. DOI: 10.1117/1.JBO.26.9.098001
[5] Burmeister NM, Langguth S, Urschel A, Schatteburg L, Meurer S, Teodorescu M, Hochbruck C, Schick B, Wenzel G. Die optoakustische Stimulation des peripheren Hörorgans funktioniert auch beim Menschen. In: Deutsche Gesellschaft für Audiologie e. V.; ADANO, editors. 27. Jahrestagung der Deutschen Gesellschaft für Audiologie und Arbeitstagung der Arbeitsgemeinschaft Deutschsprachiger Audiologen, Neurootologen und Otologen. Göttingen, 19.-21.03.2025. Düsseldorf: German Medical Science GMS Publishing House; 2025. Doc080. DOI: 10.3205/25dga080



