[Vom Nischenthema zur curricularen Verankerung – Konzeption und Evaluation des Wahlpflichtfaches „Klimawandel und Gesundheit“]
Dorothea Lemke 1Svea Holtz 1
Meike Gerber 1,2
Olga Amberger 1
Dania Schütze 1
Beate Müller 1,3
Armin Wunder 1,4
Marischa Fast 1,5
1 Goethe-Universität Frankfurt a.M., Institut für Allgemeinmedizin, Frankfurt a.M., Deutschland
2 TU Dresden, Institut für Geschichte der Medizin, Dresden, Deutschland
3 Universität zu Köln, Institut für Allgemeinmedizin, Köln, Deutschland
4 Medizinische Universität Graz, Institut für Allgemeinmedizin und Evidenzbasierte Versorgungsforschung, Graz, Österreich
5 Deutsche Allianz Klimawandel und Gesundheit (KLUG) e.V., Berlin, Deutschland
Zusammenfassung
Zielsetzung: Im Wintersemester 2021/22 wurde an der Medizinischen Fakultät der Goethe-Universität Frankfurt am Main zum ersten Mal das Wahlpflichtfach „Klimawandel und Gesundheit“ für Studierende der Humanmedizin im klinischen Abschnitt angeboten (Restplätze wurden an interessierte Studierende anderer Studiengänge vergeben). Ziel war eine Wissensvermittlung zu und Auseinandersetzung mit den Auswirkungen des Klimawandels auf die menschliche Gesundheit, da diese Thematik im Medizinstudium bislang nicht verankert ist, jedoch zunehmend an Brisanz gewinnt. Das Wahlpflichtfach wurde durch die Studierenden hinsichtlich verschiedener Wissens-, Einstellungs- und Verhaltensdimensionen evaluiert.
Projektbeschreibung: Die inhaltlichen Schwerpunkte des Wahlpflichtfaches bildeten das Konzept Planetary Health, mit den Schwerpunkten der gesundheitlichen Folgen des Klimawandels sowie Handlungs- und Anpassungsmöglichkeiten in Klinik und Praxis. Durchgeführt wurde die Veranstaltung mittels drei Live-Online-Sitzungen (mit Inputs, Diskussion, Fall- und Kleingruppenarbeit) sowie Online-Vorbereitungsaufgaben und einer abschließenden schriftlichen Reflexion.
Für die Evaluation des Wahlpflichtfaches wurde die standardisierte Lehrevaluation (=didaktische Dimension) der Goethe-Universität als Online-Fragebogen verwendet. Dieser Fragenbogen wurde erweitert, um auch die Veränderungen der Zustimmung gegenüber Wissens-, Einstellungs- und Verhaltensdimensionen (persönliches und ärztliches Verhalten) vor und nach der Lehrveranstaltung (Prä/Post-Vergleich) zu messen.
Ergebnisse: Die Studierenden äußerten sich sehr zufrieden bezüglich der präsentierten und vermittelten Inhalte, des Ablaufs und der Organisation des Wahlpflichtfaches, was sich in einer sehr guten bis guten Gesamtbewertung des Kurses abbildete. Außerdem wurden in den Prä/Post-Vergleichen in fast allen Dimensionen eine signifikante, positive Verschiebung der Zustimmungswerte gemessen. Die Mehrheit der Befragten wünschte sich zudem eine feste Verankerung der Thematik im Medizinstudium.
Schlussfolgerung: Die Evaluation zeigt einen deutlichen Einfluss des durchgeführten Wahlpflichtfaches auf die Wissens-, Einstellungs- und Verhaltensdimensionen der Studierenden bezüglich der Auswirkungen des Klimawandels auf die menschliche Gesundheit. Daher wäre es mit Blick auf die Relevanz des Themas wichtig, diese Inhalte zukünftig in das medizinische Curriculum aufzunehmen.
Schlüsselwörter
Klimawandel, Gesundheit, medizinische Ausbildung, Evaluation, Lehre
1. Hintergrund
1.1. Einführung
Der Klimawandel macht sich auch in Deutschland durch einen Anstieg von Hitze- und Extremhitzeereignissen (Hitzewellen) bemerkbar. So ist die Anzahl der heißen Tage (≥30°C) und der Tropennächte (≥20°C) seit 1950 im Mittel um 11,4 Tage gestiegen (1950: 3 Tage, 2018: 20 Tage) [1], [2]. Diese Entwicklung wird sich fortsetzen. Die stetige Zunahme von Treibhausgasen in der Atmosphäre führt durch den verstärkten Treibhauseffekt zu einer Zunahme von Wärmeenergie und ist verbunden mit einer Änderung des Wettersystems in Richtung Extremwetterereignissen. Zu Extremwetterereignissen zählen vor allem extreme Hitzewellen, Dürre-Ereignisse, Starkniederschläge und Überflutung [3]. Dabei geht die Zunahme von Extremwetter mit einem erhöhten Gesundheitsrisiko für alle Menschen einher. Vulnerable Bevölkerungsgruppen, wie ältere Menschen, Kinder oder chronisch erkrankte Menschen sind dabei von den direkten und indirekten Folgen des Klimawandels besonders stark betroffen [4], [5]. Als direkte Folge von Hitzewellen kann z.B. eine Übersterblichkeit durch Herzkreislaufstörungen, Nierenversagen, Atemwegserkrankungen und Schlaganfälle beobachtet werden [5]. Nach Angaben des Robert Koch-Instituts steigt dabei die Mortalität um ein bis sechs Prozent pro Grad Celsius Temperaturerhöhung [5]. Als indirekte Gesundheitskonsequenz wird zudem eine veränderte Krankheitslast durch Infektionskrankheiten gesehen. Dies geschieht unter anderem dadurch, dass bestimmte Krankheitsüberträger (Vektoren) durch die globale Erwärmung in gemäßigte Zonen vordringen oder sich nach Einschleppung in Regionen verbreiten können, in denen sie bisher nicht heimisch waren, wie zum Beispiel die Tigermücke in Teilen Deutschlands als Überträger des Dengue- und Chikungunyavirus [6], [7]. Eine weitere indirekte Gesundheitskonsequenz der globalen Erwärmung ist die Zunahme von Allergien. Durch den Anstieg der mittleren Lufttemperatur beginnt der Pollenflug einerseits früher im Jahr und dauert länger an. Andererseits können sich Neophyten mit hohem Allergiepotenzial zunehmend ausbreiten, wie zum Beispiel die Beifuß-Ambrosie [7], [8], [9].
1.2. Lehre zur planetaren Gesundheit: Stand der Forschung
Das Konzept der planetaren Gesundheit geht von der Grundannahme aus, dass menschliche Gesundheit nicht isoliert von der Gesundheit natürlicher Ökosysteme betrachtet werden kann, da beide in ihrer Vitalität voneinander abhängen [10], [11]. Eines der Prinzipien lautet, dass Aspekte der planetaren Gesundheit Eingang in die Ausbildung aller Fachkräfte im Gesundheitswesen finden sollen, da diese eine besondere Verantwortung für die menschliche Gesundheit tragen (ebd.). Diese Forderung wird insbesondere im Hinblick auf werdende Ärzt*innen – oft auch durch Medizinstudierende selbst – zunehmend aufgegriffen: Sie sollten mit dem Konzept planetarer Gesundheit sowie den weitreichenden Folgen des Klimawandels für die menschliche Gesundheit vertraut gemacht werden, um auf die Berufsausübung in einer Welt mit veränderten klimatischen Bedingungen vorbereitet zu sein [12], [13], [14]. Jedoch ergaben Umfragen unter Medizinstudierenden, dass sie das Thema zwar als relevant für die Patient*innenversorgung erachten, es ihnen aber an Wissen über die globalen Zusammenhänge von Klimawandel und menschlicher Gesundheit und damit auch an Kompetenz fehlt, darüber mit Patient*innen zu sprechen [15], [16], [17]. Obwohl es bereits Entwürfe für Lehrpläne gibt, die teilweise von Studierenden selber entwickelt wurden, variiert die Integration in medizinische Curricula international stark [18]. Ein Review aus den USA zeigt beispielsweise, dass es zwar vermehrt Lehrangebote zum Klimawandel und seinen gesundheitlichen Folgen gibt, allerdings hauptsächlich in hoch-renommierten Forschungseinrichtungen, sodass der Zugang zu diesen Angeboten für Studierende ungleich verteilt ist [19]. Insbesondere aus den USA oder der UK gibt es jedoch Studien zu verschiedenen Modellen, Klima und Gesundheit in die medizinische Ausbildung zu integrieren [20], [21], [22]. Eine dieser Studien aus den USA begleitete einen Kurs zu umweltbezogenen Gesundheitsfaktoren, in dessen Rahmen Medizinstudierende im ersten Studienjahr die Gesundheitsrisiken einer Familie einschätzen sollten, die sie über einen längeren Zeitraum begleiteten [20]. Die Evaluation dieses Lehrangebotes zeigt, dass es die selbsteingeschätzte Kompetenz von Medizinstudierenden verbessert hat, gesundheitliche Auswirkungen des Klimawandels mit Patient*innen zu besprechen. Ein ähnliches Kursangebot gibt es in Südafrika, wo Medizinstudierende im vierten Jahr umweltbezogene Gesundheitsrisiken im Zusammenhang mit dem sozioökonomischen Status ihrer Patient*innen einzuschätzen lernen [21]. In Deutschland mangelt es bisher an evidenzbasierter Forschung zur Integration von Lehrangeboten zu Klimawandel und Gesundheit beziehungsweise zur planetaren Gesundheit in das medizinische Curriculum. Insbesondere das Wissen um die Bedeutung des Themas im Zusammenhang mit der eigenen Rolle im Gesundheitswesen ist nicht stark ausgeprägt. So weist eine Studie von Bugaj et al. darauf hin, dass Medizinstudierende im Praktischen Jahr zwar durchaus über die gesundheitlichen Folgen des Klimawandels informiert sind, ihnen jedoch das Bewusstsein für ihre professionelle Verantwortung als werdende Ärzt*innen im Sinne der planetaren Gesundheit fehlt [15].
Da der Einfluss des Klimas auf menschliche Gesundheit steigt, müssen Ärzt*innen sowohl in der Diagnose als auch Therapie von Erkrankungen mit einem Bezug zu klima- und umweltbedingten Veränderungen geschult werden. Zudem sollten sie für den Einfluss des Gesundheitssystems auf den Klimawandel sensibilisiert werden, da der Gesundheitssektor für bis zu 5% der globalen Treibhausgasemissionen verantwortlich ist [23]. Da das Thema bislang nicht curricular im Medizinstudium an der Goethe-Universität Frankfurt verankert ist, wurde erstmalig im Wintersemester (WS) 2021/22 ein Wahlpflichtfach für Studierende der Humanmedizin im klinischen Studienabschnitt angeboten. Restplätze wurden nach Anmeldeschluss an interessierte Studierende anderer Studienrichtungen vergeben, solange ein Gesundheitsbezug hergestellt werden konnte (z.B. Sportwissenschaften). Das Lehrangebot wurde durch digitale und analoge Aushänge auf dem medizinischen Campus beworben. Im Folgenden stellen wir das Konzept des Wahlpflichtfaches und dessen Evaluation vor.
1.3. Forschungsfragen
Die folgenden Forschungsfragen liegen der Evaluation des Wahlpflichtfaches zugrunde:
- Hat das Wahlpflichtfach zu einem (subjektiv eingeschätzten) Wissenszuwachs in Bezug auf die Zusammenhänge von Klimawandel und Gesundheit beigetragen? (Wissensdimension)
- Fühlen sich die Studierenden durch das Wahlpflichtfach vorbereitet, gesundheitliche Folgen des Klimawandels abzuschätzen und damit umzugehen? (Wissensdimension)
- Welche Einstellung haben Studierende in Bezug auf den Klimawandel? (Einstellungsdimension)
- Welche Selbstwirksamkeitsvorstellung haben die Studierenden bezüglich ihres persönlichen Verhaltens beim Klimaschutz und gibt es einen Einfluss auf Verhaltensänderung durch das Wahlpflichtfach? (persönliches Verhalten in der Verhaltensdimension)
- Welche Vorstellung haben die Studierenden über ihre zukünftige ärztliche Rolle im Zusammenhang mit der planetaren Gesundheit? (Dimension ärztliches Rollenverhalten)
- Wie wurde der Kurs aus didaktischer Sicht von den Studierenden bewertet? (Dimension didaktische Bewertung)
2. Projektbeschreibung
2.1. Beschreibung des klinischen Wahlpflichtfaches „Klimawandel und Gesundheit“
Die Idee zur Konzeption eines Wahlpflichtfaches im klinischen Studienabschnitt des Medizinstudiums an der Goethe-Universität Frankfurt entstand im Rahmen der Arbeitsgruppe (AG) Klimawandel und Gesundheit, welche am Institut für Allgemeinmedizin angesiedelt ist. Drei Mitglieder der AG aus verschiedenen Disziplinen (eine Ärztin, eine Diplompädagogin und eine Geowissenschaftlerin) konzipierten das Wahlpflichtfach und führten es durch. Zur Konzeption des Wahlpflichtfaches dienten eine Literaturrecherche zum Stand der Lehre in Bezug auf planetare Gesundheit und ein Austausch mit Expert*innen u.a. der AG Lehre von Health for Future und der AG Klimawandel und Gesundheit der Deutschen Gesellschaft für Allgemeinmedizin und Familienmedizin (DEGAM).
Das Wahlpflichtfach mit dem Titel „Klimawandel und Gesundheit“ wurde im Wintersemester 2021/22 zum ersten Mal durchgeführt. Es bestand aus drei Live-Online-Veranstaltungen von je 3,5 Unterrichtseinheiten (UE) und im Vorfeld je 1 UE Blended Learning, die im Abstand von 14 Tagen aufeinander folgten (siehe Anhang 1 [Anh. 1]). Blended Learning oder auch Integriertes Lernen verbindet (in didaktisch sinnvoller Art und Weise) synchrone Unterrichtsformate mit asynchronen Online-Formaten. Durch die Kombination verschiedener Formate und Methoden werden die jeweiligen Vorteile der Methoden verstärkt [24].
Alle 20 Teilnahmeplätze für Studierende waren ausgebucht. Es bestand über den Fachbereich hinaus Interesse an dem Thema, sodass neben 16 Anmeldungen von Studierenden der Humanmedizin im klinischen Studienabschnitt auch vier Studierende anderer Studienfächer teilnahmen. Zwei Teilnehmende erschienen jedoch nicht, so dass das Wahlpflichtfach mit insgesamt 18 Teilnehmenden durchgeführt wurde.
Das Wahlpflichtfach beinhaltete drei Schwerpunkte:
- Einführung in das Thema planetare Gesundheit und geowissenschaftliche Hintergründe zum Klimawandel
- Adaptation: Zusammenhänge von Klima- und Umwelteinflüssen auf die menschliche Gesundheit und Auswirkungen auf die Patient*innenversorgung mit dem Schwerpunkt Hitze und den weiteren Themen Allergien und Luftverschmutzung, Infektionskrankheiten und psychische Gesundheit
- Mitigation: Der CO2-Abdruck des Gesundheitssystems inkl. Potentiale der CO2-Reduktion in Klinik und Praxis, das Konzept der Klimasensiblen Gesundheitsberatung in der Patient*innenkonsultation, sowie weitere Möglichkeiten selbst aktiv zu werden
Die Blended Learning-Aufgaben im Vorfeld bestanden aus einführenden Online-Vorträgen und Podcasts, die auf das jeweilige Thema vorbereiteten. Dadurch blieb in den Live-Online-Sitzungen neben theoretischen Inputs viel Raum für Fall- und Kleingruppenarbeit sowie Reflexion, sodass eine aktive Auseinandersetzung mit dem Thema möglich war. Als Lernzielkontrolle diente eine DIN 4 Seite Reflexion zu der Fragestellung „Was habe ich aus dem Wahlfach mitgenommen? Was kann ich umsetzen? Was sind Themen, bei denen ich als (angehende) Ärztin/Arzt Einfluss nehmen kann?“.
2.2. Beschreibung des Fragebogens und Datenauswertung
Zur Evaluation des Wahlpflichtfach erweiterte das interdisziplinäre Team der Verantwortlichen den Fragebogen der Lehrevaluation der Goethe-Universität und ließ ihn von unabhängigen (nicht mit dem Wahlpflichtfach verbundenen) Wissenschaftler*innen auf Verständlichkeit prüfen und testen. Das Ziel war nicht nur die didaktische Dimension der Veranstaltung zu evaluieren, sondern auch den Wissenszuwachs, die Einstellung in Bezug auf den Klimawandel und den gesundheitlichen Auswirkungen sowie Verhaltenseinstellungen und Haltung in Bezug auf das persönliche Verhalten sowie auf die ärztliche Rolle. Daher enthielt der Fragebogen neben den demografischen Angaben und Fragen zur Didaktik der Veranstaltung weitere 37 geschlossene, Likert-skalierte Fragen zu den angesprochenen Dimensionen: Wissen, Einstellungen, Verhalten (unterteilt in persönliche und ärztliche Verhaltensdimension). Die Fragen aus den Dimensionen Wissen, Einstellungen und die persönliche Verhaltensdimension wurden als Prä/Post-Fragen formuliert (z.B. „Ich habe mich bereits vor dem Kurs mit den speziellen Auswirkungen des Klimawandels auf die Gesundheit beschäftigt“ und „Der Kurs hat mich dazu angeregt, mich stärker mit den speziellen Auswirkungen des Klimawandels auf die Gesundheit zu beschäftigen“), so dass ein möglicher Einfluss des Kurses auf Wissenszuwachs und Einstellungsänderung berechnet werden konnte. Der Fragebogen wurde in EvaSys [https://evasys.de/] entworfen und direkt im Anschluss an die letzte Sitzung als Link ausgegeben. Die Daten wurden anschließend als csv-Datei für die Datenanalysen exportiert. Der Originalfragebogen ist aus Anhang 2 [Anh. 2] zu entnehmen. Für die Evaluation wurde eine html-Version dieses Fragebogens verwendet.
Die Datenauswertung erfolgte, aufgrund der kleinen Fallzahlen, überwiegend deskriptiv. Die Prä/Post-Vergleiche (vor und nach dem Kurs) wurden mittels Wilcox-Test (einseitig und auf einem 5%-Signifikanzniveau) durchgeführt. Der Wilcox-Test basiert für abhängige Stichproben auf Differenzwerten zwischen zwei Gruppen. Dabei wird nicht nur die Richtung (positive/negative Abweichung, Ränge) miteinbezogen, sondern auch die Größe der beobachteten Unterschiede zwischen den beiden Gruppen (hier der Zeitpunkt vor dem und nach dem Kurs). Neben der statistischen Signifikanz wurde die Effektstärke (r) berechnet. Sie gibt eine Einschätzung der praktischen Bedeutsamkeit, die bei der Interpretation der Größe eines Effektes helfen. Die Effektstärke wurde für das Eingruppen-Design mit Messwiederholung berechnet. Werte unter 0.3 werden als kleiner Effekt, zwischen 0.3 und 0.5 als mittlerer und Werte größer als 0.5 als starke Effekte interpretiert https://rpkgs.datanovia.com/rstatix/reference/wilcox_effsize.html].
Alle Auswertungen und graphische Darstellungen erfolgten mit dem Statistikprogramm R [https://www.r-project.org/].
2.3. Ethik
Auf Anfrage der Ethikkommission war kein extra Votum der Kommission notwendig, da die Befragung pseudonymisiert und im Rahmen der Lehrveranstaltungsevaluation durchgeführt wurde.
3. Ergebnisse der Evaluation
Mit 20 Anmeldungen war der Kurs ausgebucht. Allerdings nahmen nur 18 Teilnehmende regelmäßig an den Veranstaltungen teil, von denen am Ende 16 die Evaluation durchgeführt haben. Bezüglich der Geschlechtsverteilung waren drei Teilnehmende männlich (19%) und 13 weiblich. Das mediane Alter der Teilnehmenden lag bei 24 Jahren mit einer Spanne von 21 bis 34 Jahren. Für das Fach Medizin waren 75% (n=12) der Befragten eingeschrieben und studierten im 7. bis zum 11. Fachsemester. Der überwiegende Teil der Medizinstudierenden befand sich dabei im 9. Fachsemester (67%; n=8).
3.1. Evaluation der Inhalts- und Wissensdimension
In der Inhalts- und Wissensdimension schätzen die Befragten subjektiv ein, inwieweit der Kurs zu einer Zunahme von Wissen über das Thema Klimawandel und Gesundheit geführt hat. Die Originalfragen sind im anhängten Fragebogen in Abschnitt 3 (siehe Anhang 2 [Anh. 2]) zu finden. Aus Gründen der Übersichtlichkeit sind die Fragen als thematische Items in Abbildung 1 [Abb. 1] (x-Achse) abgekürzt. Dabei zeigt sich bei allen abgefragten Items ein signifikanter Unterschied in der Einschätzung des Wissens im Vergleich vor und nach der Veranstaltung (siehe Abbildung 1 [Abb. 1]). Besonders zeigen aber die Items bezüglich der Abschätzung der gesundheitlichen Folgen des Klimawandels und der Übernahme des Themas in die medizinische Ausbildung eine höchst signifikante Zunahme in der Einschätzung des Wissens vor und nach der Veranstaltung. Besonders bei der Abschätzung der gesundheitlichen Folgen ist eine sehr hohe Effektstärke zu beobachten, was für einen Einfluss der Veranstaltung spricht. Bezüglich der Übernahme des Faches gaben 81% der Befragten nach dem Abschluss des Wahlpflichtfaches ihr völlige Zustimmung, dass das Thema in die medizinische Ausbildung fest verankert werden sollte. Vor Abschluss des Wahlpflichtfaches waren es 38%. In Gesprächen mit den Teilnehmenden nahmen viele das Wahlpflichtfach im Vorhinein eher als Nischenfach wahr und waren nach Abschluss erstaunt, welche vielfältigen und konkreten Auswirkungen der Klimawandel auf die menschliche Gesundheit und auch auf das spätere ärztliche Handeln sowie auf das ganze Gesundheitssystem hat.
Abbildung 1: Antwortverteilung vor und nach Abschluss der Veranstaltung in der Wissensdimension mit Angabe der Signifikanz (Wilcox-Test, einseitig, alpha=0.05, *p<0.05, **p<0.01, ***p<0.001) und Angabe der Effektstärke (r)
3.2. Evaluation der Einstellungsdimension
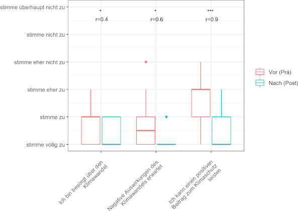
In der Einstellungsdimension wurde abgefragt, ob Änderungen von Einstellungen zum Klimawandel und dessen gesundheitliche Auswirkungen im Vergleich vor und nach der Veranstaltung zu beobachten sind (siehe Abbildung 2 [Abb. 2]). Die Originalfragen sind im Fragebogen in Abschnitt 4 (siehe Anhang 2 [Anh. 2]) zu finden. Die Sorge um den Klimawandel und dessen negative Auswirkungen auf das Leben zeigen eine signifikante, stärkere Zustimmung im Vergleich zu vor der Veranstaltung. Besonders ausgeprägt bzw. höchst signifikant ist die Verschiebung der Zustimmung bei dem Item, dass jeder einzelne einen positiven Beitrag für die Umwelt leisten kann, auch mit einer sehr hohen Effektstärke.
Abbildung 2: Antwortverteilung vor und nach Abschluss der Veranstaltung in der Einstellungsdimension mit Angabe der Signifikanz (Wilcox-Test, einseitig, alpha=0.05, *p<0.05, **p<0.01, ***p<0.001) und Angabe der Effektstärke (r) 
3.3. Evaluation der Verhaltensdimension
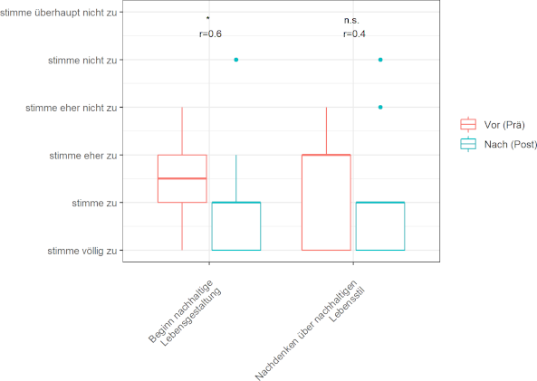
In der Verhaltensdimension soll das persönliche Verhalten in Bezug auf Nachhaltigkeit im Vergleich vor und nach dem Kurs abgebildet werden. Die Originalfragen sind im Fragebogen (siehe Anhang 2 [Anh. 2]) in Abschnitt 6 zu finden. Es konnte gezeigt werden, dass bei dem Item „Beginn einer nachhaltigen Lebensgestaltung“ eine signifikante Verschiebung der Zustimmung mit moderaten Effektstärken zu beobachten ist. Dagegen zeigt das Item „Nachdenken über eine nachhaltige Lebensgestaltung“ keine signifikante Änderung der Zustimmung (siehe Abbildung 3 [Abb. 3]).
Abbildung 3: Antwortverteilung vor und nach Abschluss der Veranstaltung in der Verhaltenssdimension mit Angabe der Signifikanz (Wilcox-Test, einseitiog, alpha=0.05, *p<0.05, **p<0.01, ***p<0.001) und Angabe der Effektstärke (r)
3.4. Evaluation des ärztlichen Rollenverhaltens
Die Dimension des ärztlichen Verhaltens beinhaltet Items, das die Übernahmewahrscheinlichkeit der Kursinhalte auf spätere Rollenverhalten als Ärzt*innen messen soll (siehe Abbildung 4 [Abb. 4]). Die vier Nicht-Medizinstudierenden wurden hier nicht ausgeschlossen, da diese auch in gesundheitsbezogene Studiengänge eingeschrieben waren und die Items auf entsprechende Professionen (z.B. Sportwissenschaften) „übertragen“ werden können. Die Originalfragen sind im Fragenbogen (siehe Anhang 2 [Anh. 2]) in Abschnitt 5 zu finden. Da das ärztliche Rollenverhalten von den Studierenden zum Zeitpunkt des Kurses nur antizipiert werden kann, wurde hier auf Prä/Post-Vergleiche verzichtet. Dabei zeigen sich besonders hohe Zustimmungswerte bezüglich der Aussage, dass Krankenhäuser und Praxen ökologisch, nachhaltig und energieeffizient arbeiten sollen (94% völlige Zustimmung). Die eigene Aufklärung über die gesundheitlichen Folgen des Klimawandels sehen 75% als sehr relevant (völlige Zustimmung) an. Dagegen stimmen etwas weniger völlig zu (63%), dass Ärzt*innen die Öffentlichkeit über den Klimawandel aufklären sollten. Genauso wird die Aufklärung der Patient*innen bezüglich der Zusammenhänge zwischen Klimawandel und Gesundheit (63% völlige Zustimmung) bewertet. Dass zukünftige Ärzt*innen einen Beitrag zur nachhaltigen Gestaltung des Gesundheitssektors leisten können und dass sie nachhaltige Lebensstilberatung als wichtiges hausärztliches Thema wahrnehmen, wird mit 69% völliger Zustimmung sehr ähnlich bewertet.
Abbildung 4: Einfluss der Kursinhalte auf das (spätere) ärztliche Verhalten
3.5. Didaktische Evaluation
Die Ergebnisse der didaktischen Bewertung sind in Abbildung 5 [Abb. 5] wiedergegeben. Besonders positiv haben die Befragten die Möglichkeit der aktiven Beteiligung an der Veranstaltung (94% völlige Zustimmung) und die konstruktive Arbeitsatmosphäre (88% völlige Zustimmung) bewertet. Die Bewertung der Vorkenntnisse, des verwendeten Unterrichtsmaterials und der Organisation der Veranstaltung wurde von der überwiegenden Mehrheit (>68%) mit „stimme voll zu“ bewertet. Eine Weiterempfehlung der Veranstaltung wurde von 75% der Befragten uneingeschränkt ausgesprochen. Einzig die Frage, ob die Lernziele klar erkennbar waren, wurde heterogener bewertet: 19% stimmten eher zu bzw. eher nicht zu. Der Zeitrahmen der Veranstaltung wurde von 70% als „genau richtig“ bewertet, 25% fanden ihn zu kurz und 5% zu lang. Die Stoffmenge wurde von 93% als „genau richtig“, von 7% als zu wenig bewertet und 88% der Befragten gaben an, Interesse an einem weiterführenden Aufbaukurs zu haben. In der Gesamtbewertung gaben 56% der Veranstaltung die Schulnote „1“ und der Rest die Note „2“.
Abbildung 5: Didaktische Bewertung des Wahlpflichtfaches
4. Diskussion
Die Evaluation des erstmalig angebotenen klinischen Wahlpflichtfaches „Klimawandel und Gesundheit” der Goethe-Universität Frankfurt am Main zeigte eine hohe Zufriedenheit der Teilnehmenden mit dem Kurs und einen subjektiv eingeschätzten, signifikanten Wissenszuwachs sowie subjektiv eingeschätzte signifikante Einstellungs- und Verhaltensänderungen bzgl. der gesundheitlichen Folgen des Klimawandels. Darüber hinaus wünschte sich die Mehrheit der Befragten nach dem Kurs eine feste Verankerung des Themas in der medizinischen Ausbildung.
Die Ergebnisse zeigen, dass das Thema des Klimawandels und dessen gesundheitlichen Folgen auf der Wissens-, Einstellungs- und Verhaltensebene weder in der Wahrnehmung noch in der medizinischen Ausbildung verankert ist. Das deckt sich zum Teil mit den Ergebnissen der Studie von Bugaj et al. [15], die die Einstellungen, das persönliche und professionelle Rollenverhalten von Medizinstudierenden im letzten Studienjahr (PJler*innen) in Bezug auf Klimawandel und Gesundheit an Universität Heidelberg untersuchten. Dazu wurde ein Fragebogen entwickelt, der die Einstellungen der PJler*innen zu drei Dimensionen: den erwarteten Konsequenzen des Klimawandels, der persönlichen und professionellen (ärztlichen) Verantwortung mit Hilfe einer Faktorenanalyse misst. Zusammenfassend zeigt die Studie, dass die PJler*innen bezüglich der Dimensionen/Faktoren: erwartete Gesundheitsrisiken und persönliche Verantwortung hohe Übereinstimmung haben, aber die geringste Zustimmung bezüglich der ärztlichen Verantwortung. Das deckt sich mit unseren Ergebnissen, in der Hinsicht, dass die Studierenden bzw PJler*innen eher persönliche Verhaltensentscheidungen treffen, um die Folgen des Klimawandels abzumildern und es weniger als ihr professionelles Rollenverständnis ansehen, die Öffentlichkeit über die (gesundheitlichen) Folgen aufzuklären. Das äußerte sich auch in der Wahrnehmung des Wahlpflichtfaches bei den Studierenden, die anfänglich ein Nischenfach hinter der Thematik vermuteten. Diese Wahrnehmung und die Wissensdefizite bezüglich der gesundheitlichen Auswirkungen des Klimawandels sowie ärztlicher Handlungsoptionen zeigt, wie wichtig eine Verankerung der Thematik in der medizinischen Lehre ist. Zusätzlich ist bei dieser Stichprobe davon auszugehen, dass diese in der Hinsicht verzerrt ist, dass sich eher an dem Thema interessierte und stärker informierte Studierende angemeldet haben. Daher ist davon auszugehen, dass diese festgestellten Defizite in der Grundgesamtheit der Medizinstudierenden tendenziell noch stärker ausgeprägt sind als in der Stichprobe. Auch die hohen Zustimmungswerte bezüglich der Übernahme der Thematik in das medizinische Curriculum zeigt, dass sich die Teilnehmenden bisher nicht genügend informiert fühlten.
Auch die Initiativen, das Thema planetare Gesundheit in den nationalen Lernzielkatalog Medizin (NLKM) aufzunehmen und damit auch in Prüfungsfragen abzubilden, zeigen die Notwendig- und vor allem Dringlichkeit das Thema als verpflichtende Inhalte in die medizinische Lehre zu bringen [25].
Die Evaluation von Gomez et al. [26] zur Einführung eines Faches über den Einfluss des Klimawandels auf die menschliche Gesundheit an der Stanford School of Medicine zeigt ebenfalls eine signifikante Zustimmung nach Abschluss des Kurses bzgl. der Übernahme „climate change“-Curriculum in der medizinischen Ausbildung. Auch war eine signifikante Verschiebung der Zustimmung in Hinsicht auf die Abschätzung der gesundheitlichen Folgen nach Abschluss des Kurses zu beobachten, die sich auch in der vorliegenden Evaluation zeigten. Ein weiterer Vergleich der Ergebnisse mit der Literatur ist schwierig, da es in Deutschland wenig Forschung zu dem Thema gibt und international gesehen die durchgeführten Lehrveranstaltungen in den medizinischen Curricula und die untersuchten Items/Fragestellungen stark variieren.
Die Limitationen der dargestellten Lehrevaluation sind vor allem, dass die Stichprobe klein und vermutlich selektiert ist, da der Kurs keine Pflichtveranstaltung war und von einem bereits bestehenden Interesse der Teilnehmenden an der Thematik ausgegangen werden muss. Außerdem wurden die Teilnehmenden nur zu einem Zeitpunkt, am Ende der Lehrveranstaltung, befragt. Daher ist eine Verzerrung der Prä/Post-Vergleiche möglich, da für den Prä-Zeitpunkt retrospektiv befragt wurde. Eine zusätzliche Limitation ist sicherlich, dass es noch keine Daten zu Vergleichsgruppen gibt. Außerdem können die Ergebnisse einem self-reporting bias, d.h. einer Verschiebung der Antworten in Richtung sozialer Erwünschtheit, unterliegen. Weiterführende Längsschnittstudien sind erforderlich, um Wissens- und Verhaltensänderungen zu untersuchen und ggf. den konkreten Beitrag im Gesundheitswesen zu messen.
5. Fazit
Zusammenfassend zeigt die Evaluation der durchgeführten Lehrveranstaltung, dass die Wahrnehmung der Zusammenhänge des Klimawandels und der Folgen für die menschliche Gesundheit deutlich unterrepräsentiert ist und dass eine Lehrveranstaltung deutlichen Einfluss auf der Wissens-, Einstellungs- und Verhaltensebene nehmen kann. Aufgrund der Forschungslage und unserer eigenen Evaluation sowie dem Wunsch der Studierenden nach einer Vertiefung und Verankerung des Themas im Medizinstudium empfehlen wir eine curriculare Übernahme des Themas Klimawandel und Gesundheit in die medizinische Ausbildung.
Danksagung
Die Autor*innen danken Phillip Elliott für die Übersetzung des Manuskripts.
Interessenkonflikt
Die Autor*innen erklären, dass sie keinen Interessenkonflikt im Zusammenhang mit diesem Artikel haben.
Literatur
[1] Umweltbundesamt. Gesundheitsrisiken durch Hitze. Dessau-Roßlau: Umweltbundesamt; 2021. Zugänglich unter/available from: https://www.umweltbundesamt.de/daten/umwelt-gesundheit/gesundheitsrisiken-durch-hitze[2] Umweltbundesamt. Indikator: Heiße Tage. Dessau-Roßlau: Umweltbundesamt; 2022. Zugänglich unter/available from: https://www.umweltbundesamt.de/daten/umweltindikatoren/indikator-heisse-tage#wie-ist-die-entwicklung-zu-bewerten
[3] IPCC. Summary for Policymakers. In: Masson-Delmotte V, Zhai P, Pirani A, Conners SL, Péan C, Berger S, Caud N, Chen Y, Goldfarb L, Gomis MI, Huang M, Leitzell K, Lonnoy E, Matthews JB, Maycock TK, Waterfield T, Yelekçi O, Yu R, Zhou B, editors. Climate Change 2021: The Physical Science Basis. Contribution of Working Group I to the Sixth Assessment Report of the Intergovernmental Panel on Climate Change. Cambridge (UK), New York (NY): Cambridge University Press; 2021. p.3-32. DOI: 10.1017/9781009157896.001
[4] Deutsche Allianz Klimawandel und Gesundheit (KLUG). Hitze und ihre Folgen. Berlin: KLUG. Zugänglich unter/available from: https://www.klimawandel-gesundheit.de/hitze-und-ihre-folgen/
[5] An der Heiden M, Muthers S, Niemann H, Buchholz U, Grabenhenrich L, Matzarakis A. Schätzung hitzebedingter Todesfälle in Deutschland zwischen 2001 und 2015 [Estimation of heat-related deaths in Germany between 2001 and 2015]. Bundesgesundheitsblatt Gesundheitsforschung Gesundheitsschutz. 2019;62(5):571-579. DOI: 10.1007/s00103-019-02932-y
[6] Stark K, Niedrig M, Biederbick W, Merkert H, Hacker J. Die Auswirkungen des Klimawandels. Welche neuen Infektionskrankheiten und gesundheitlichen Probleme sind zu erwarten? [Climate changes and emerging diseases. What new infectious diseases and health problem can be expected?]. Bundesgesundheitsblatt Gesundheitsforschung Gesundheitsschutz. 2009;52(7):699-714. DOI: 10.1007/s00103-009-0874-9
[7] Bunz M, Mücke HG. Klimawandel – physische und psychische Folgen [Climate change - physical and mental consequences]. Bundesgesundheitsblatt Gesundheitsforschung Gesundheitsschutz. 2017;60(6):632-639. DOI: 10.1007/s00103-017-2548-3
[8] Nikendei C, Bugaj TJ, Nikendei F, Kühl SJ, Kühl M. Klimawandel: Ursachen, Folgen, Lösungsansätze und Implikationen für das Gesundheitswesen [Climate change: Causes, consequences, solutions and public health care implications]. Z Evid Fortbild Qual Gesundhwes. 2020;156-157:59-67. DOI: 10.1016/j.zefq.2020.07.008
[9] UN Environment 'Programme. Preventing the next pandemic - Zoonotic diseases and how to break the chain of transmission. Naorobi (Kenya): UN Enviroment Programme; 2020. Zugänglich unter/available from: https://www.unep.org/resources/report/preventing-future-zoonotic-disease-outbreaks-protecting-environment-animals-and
[10] Prescott S, Logan A, Albrecht G, Campbell D, Crane J, Cunsolo A, Holloway JW. Kozyrskyi AL,l Lowry CA, Penders J, Redvers N, Renz H, Stokholm J, Svanes C, Wegienka G; On Behalf of inVIVO Planetary Health, of the Worldwide Universities Network (WUN). The Canmore Declaration: Statement of Principles for Planetary Health. Challenges. 2018;9(2):31. DOI: 10.3390/challe9020031
[11] Schulz C, Herrmann M. Planetary Health. In: Traidl-Hoffmann C, Schulz C, Herrmann M, Simon B, editors. Planetary Health: Klima, Umwelt und Gesundheit im Anthropozän. 1st ed. Berlin: MWV; 2021. p.2-7.
[12] Nikendei C, Cranz A, Bugaj TJ. Medical education and the COVID-19 pandemic - a dress rehearsal for the "climate pandemic"? GMS J Med Educ. 2021;38(1):Doc29. DOI: 10.3205/zma001425
[13] Omrani OE, Dafallah A, Paniello Castillo B, Amaro BQ, Taneja S, Amzil M, Sajib MR, Ezzine T. Envisioning planetary health in every medical curriculum: An international medical student organization's perspective. Med Teach. 2020;42(10):1107-1111. DOI: 10.1080/0142159X.2020.1796949
[14] Maxwell J, Blashki G. Teaching About Climate Change in Medical Education: An Opportunity. J Public Health Res. 2016;5(1):673. DOI: 10.4081/jphr.2016.673
[15] Bugaj TJ, Heilborn M, Terhoeven V, Kaisinger S, Nagy E, Friederich HC, Nikendei C. What do Final Year Medical Students in Germany know and think about Climate Change? - The ClimAttitude Study. Med Educ Online. 2021;26(1):1917037. DOI: 10.1080/10872981.2021.1917037
[16] Ryan EC, Dubrow R, Sherman JD. Medical, nursing, and physician assistant student knowledge and attitudes toward climate change, pollution, and resource conservation in health care. BMC Med Educ. 2020;20(1):200. DOI: 10.1186/s12909-020-02099-0
[17] Liao W, Yang L, Zhong S, Hess JJ, Wang Q, Bao J, Huang C. Preparing the next generation of health professionals to tackle climate change: Are China's medical students ready? Environ Res. 2019;168:270-277. DOI: 10.1016/j.envres.2018.10.006
[18] Rabin BM, Laney EB, Philipsborn RP. The Unique Role of Medical Students in Catalyzing Climate Change Education. J Med Educ Curric Dev. 2020;7:2382120520957653. DOI: 10.1177/2382120520957653
[19] Dresser C, Gentile E, Lyons R, Sullivan K, Balsari S. Climate Change and Health in New England: A Review of Training and Policy Initiatives at Health Education Institutions and Professional Societies. R I Med J (2013). 2021;104(9):49-54.
[20] Kligler B, Pinto Zipp G, Rocchetti C, Secic M, Ihde ES. The impact of integrating environmental health into medical school curricula: a survey-based study. BMC Med Educ. 2021;21(1):40. DOI: 10.1186/s12909-020-02458-x
[21] Sullivan JK, Lowe KE, Gordon IO, Colbert CY, Salas RN, Bernstein A, Utech J, Natowicz MR, Mehta N, Isaacson JH. Climate Change and Medical Education: An Integrative Model. Acad Med. 2022;97(2):188-192. DOI: 10.1097/ACM.0000000000004376
[22] Walpole SC, Mortimer F. Evaluation of a collaborative project to develop sustainable healthcare education in eight UK medical schools. Public Health. 2017;150:134-148. DOI: 10.1016/j.puhe.2017.05.014
[23] Lenzen M, Malik A, Li M, Fry J, Weisz H, Pichler PP, Chaves LS, Capon A, Pencheon D. The environmental footprint of health care: a global assessment. Lancet Planet Health. 2020;4(7):e271-e279. DOI: 10.1016/S2542-5196(20)30121-2
[24] Quade S. Blended Learning in der Praxis: Auf die richtige Mischung aus Online und Präsenz kommt es an. Berlin: Hochschulforum Digitalisierung; 2017. Zugänglich unter/available from: https://hochschulforumdigitalisierung.de/de/blog/blended-learning-praxis
[25] Marburger Bund Thüringen. Prüfen, was vohrer gelehrt wird. Erfurt: Marburger Bund Thüringen; 2020. Zugänglich unter/available from: https://www.marburger-bund.de/thueringen/meldungen/pruefen-was-vorher-gelehrt-wird
[26] Gomez J, Goshua A, Pokrajac N, Erny B, Auerbach P, Nadeau K, Gisondi MA. Teaching medical students about the impacts of climate change on human health. J Clim Chang Health. 2021;3:100020. DOI: 10.1016/j.joclim.2021.100020
Anhänge
| Anhang 1 | Übersicht über Inhalte und Ablauf des Wahlpflichtfaches (Anhang 1.pdf, application/pdf, 98 KBytes) |
| Anhang 2 | Fragebogen (Anhang_2.pdf, application/pdf, 134.56 KBytes) |



